职+秀场丨品读文学,书香共赏——优秀作品展

作者: 时间:2023-01-20 点击数:

作品展示

优美的文笔让人流连,美好的故事引人遐想。品读文学,书香共赏。在这里为优秀的作品提供平台,让飞扬的文采得以挂靠。食髓知味,落笔成文,这里是放飞思绪的一方天地,这里是共话文学的青春殿堂,我们怀言引玉,我们邀你共赏。

1

2021级汉语言二班张骏

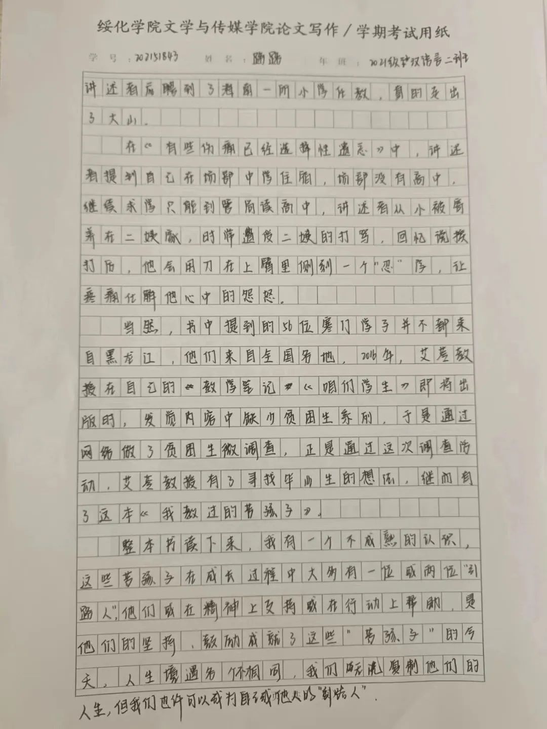
2

2021级汉语言二班路路

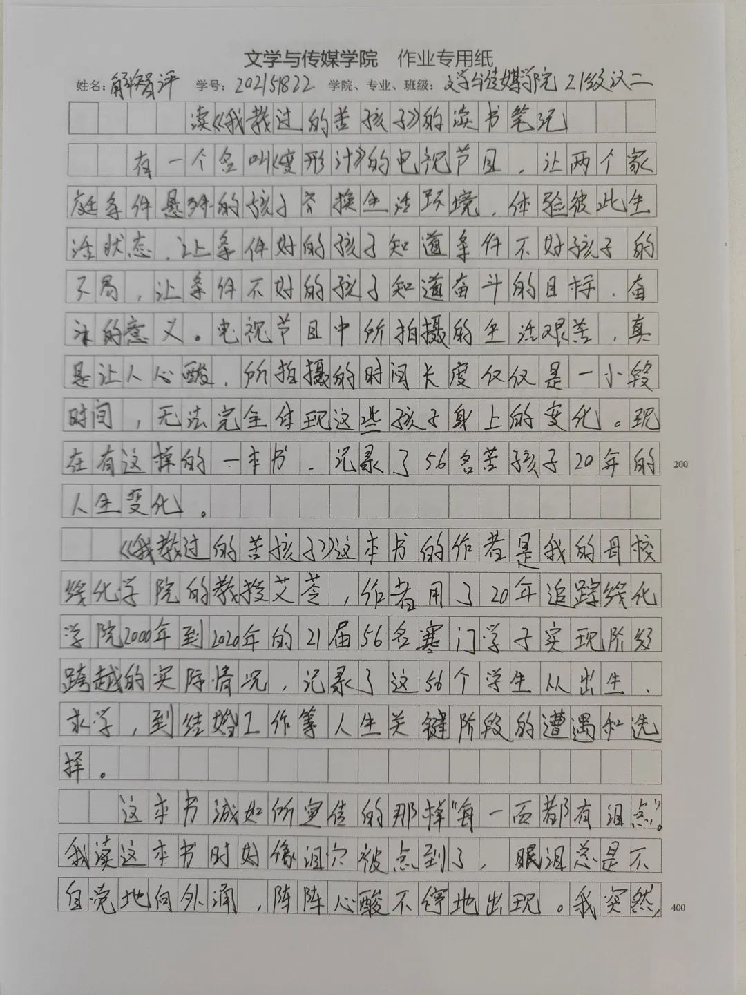
3

2021级汉语言二班解智评

语言

是打开与世界沟通的窗户

带给我们别样的风景

文字

是抒发感怀的声声呐喊

抵过长风 化作春雨

终让我们怀着同一份热爱

看见每一个值得被看见的你

版权所有:万象城娱乐awc(线路)-官方网站 院长信箱:gaowenli001@126.com   电话:0455-8301205